以前javaで生成した二分探索技のデータをpythonで可視化しましたが、この流れを全てpythonでやってみます。この際、ノードの関係性をデータベースで再現します。
目次
BinaryTreeクラスの作成
走査するアルゴリズムはJavaの時と同じです。
class Node:
def __init__(self,data) -> None:
self.data = data
self.left = None
self.right = None
pass
def getData(self):
return self.data
def setLeft(self,leftNode):
self.left = Node(leftNode)
def getLeft(self):
return self.left
def setRight(self,rightNode):
self.right = Node(rightNode)
def getRight(self):
return self.right
class BinaryTree:
def __init__(self,data) -> None:
self.root = Node(data)
self.btSTR = ""
def addAuto(self,data) -> None:
currNode = self.root
while True:
if data <= currNode.getData():
if currNode.getRight() != None:
currNode = currNode.getRight()
else:
currNode.setRight(data)
break
else:
if currNode.getLeft() != None:
currNode = currNode.getLeft()
else:
currNode.setLeft(data)
break
def out(self,node):
if node.getLeft() != None:
self.btSTR += f"{node.getData()}->{node.getLeft().getData()}\n"
self.out(node.getLeft())
if node.getRight() != None:
self.btSTR += f"{node.getData()}->{node.getRight().getData()}\n"
self.out(node.getRight())
データベースの作成
今回はルートノードをプライマリーキーとする、LeftNode,RightNodeの二つのカラムを持ったテーブルを作成します。
from BTgen import BinaryTree
import sqlite3
def main():
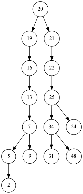
arr = [19,21,22,25,16,13,7,34,24,5,31,9,2,48]
bt = BinaryTree(20)
for i in arr:
bt.addAuto(i)
bt.out(bt.root)
return bt.btSTR[:-1]
dbname = "BT.db"
db = sqlite3.connect(f"./{dbname}")
c = db.cursor()
table_name = 'binarytree'
try:
c.execute(
f"""CREATE TABLE {table_name}(
Root INTEGER,
Left INTEGER,
Right INTEGER
)"""
)
except sqlite3.OperationalError:
pass
print(main())
for i in main().split("\n"):
_r = i.split("->")
root = int(_r[0])
child = int(_r[1])
if child< root:
Sql = f'INSERT INTO {table_name}("Root","Left","Right") VALUES({root},{child},NULL)'
else:
Sql = f'INSERT INTO {table_name}("Root","Left","Right") VALUES({root},NULL,{child})'
c.execute(
Sql
)
db.commit()
c.close()
db.close()
上記の登録方法では、以下のように被りが出てしまうため、もう少しコンパクトにできそうです。

データの追加を工夫します。
raw = main()
rows = raw.split("\n")
for i in set([int(i)for j in rows for i in j.split("->")]):
c.execute( f'INSERT INTO {table_name}("Root","Left","Right") VALUES({i},NULL,NULL)')
for i in rows:
_r = i.split("->")
root = int(_r[0])
child = int(_r[1])
if child< root:
Sql = f'UPDATE {table_name} SET "Left" = {child} WHERE "root" = {root}'
else:
Sql = f'UPDATE {table_name} SET "Right" = {child} WHERE "root" = {root}'
c.execute(
Sql
)SQL文の生成を上記のように書き換えると、コンパクトになりました。

データベースからグラフの生成
登録したデータを使用して、グラフを作成します。
edges = {}
n = 0
for i in c.execute(f'SELECT * FROM {table_name}'):
root = i[0]
if i[1] != None:
edges[(root,i[1])] = n
n+=1
if i[2] != None:
edges[(root,i[2])] = n
n+=1
G = Digraph(format="png")
G.attr("node", shape="circle")
for i,j in edges:
G.edge(str(i), str(j))
G.render("bt")edgesをSELECT文を生成して抽出するだけです。


